因子分解机的工作原理 - Amazon SageMaker
Amazon Web Services 文档中描述的 Amazon Web Services 服务或功能可能因区域而异。要查看适用于中国区域的差异,请参阅中国的 Amazon Web Services 服务入门

本文属于机器翻译版本。若本译文内容与英语原文存在差异,则一律以英文原文为准。

因子分解机的工作原理

分解机模型的预测任务是从功能集中估计函数 xi转到目标域。该域对于回归是实际值,对于分类是二元值。因子分解机模型是指导式的,因此它具有一个训练数据集 (x)iyj) 可用。该模型呈现的优势是它使用因子分解的参数化方法来捕获两两特征交互。它可以用数学表示,如下所示:


                包含因子分解机模型的等式的图像。

该等式中的三个项分别对应于模型的三个分量:

  • w0术语表示全局偏置。

  • wi线性项对 i 的强度进行建模th变量。

  • <vivj> 因子分解项对 i 之间的两两交互进行建模th和 jth变量。

全局偏置项和线性项与线性模型中的相同。第三项将两两特征交互建模为每个特征所学习的相应因子的内积。所学因子也可视为每种特征的嵌入向量。例如,在分类任务中,如果一对特征往往更频繁地在积极标记样本中共同发生,则其因子的内积将较大。也就是说,其嵌入向量在余弦相似性方面彼此接近。有关因子分解机模型的更多信息,请参阅因子分解机.

对于回归任务,通过尽可能减小模型预测之间的平方误差来训练模型。n和目标值 yn. 这称为平方损失:


                包含平方损失的等式的图像。

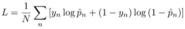
对于分类任务,通过尽可能减少交叉熵损失(也称作日志丢失)来训练模型:


                包含日志丢失的等式的图像。

其中:


                包含预测值的逻辑函数的图像。

有关分类的损失函数的更多信息,请参阅分类的损失函数